大家好,又见面了,我是你们的朋友全栈君。如果您正在找激活码,请点击查看最新教程,关注关注公众号 “全栈程序员社区” 获取激活教程,可能之前旧版本教程已经失效.最新Idea2022.1教程亲测有效,一键激活。
Jetbrains全系列IDE稳定放心使用

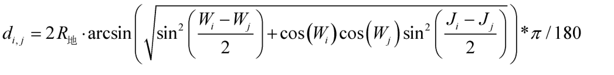
public class CaculateDistance {
private final static double EARTH_RADIUS = 6378.137;
private static double rad(double d) {
return d * Math.PI / 180.0;
}
/**
* 根据两点间经纬度坐标(double值),计算两点间距离,单位为米
*/
public static double GetDistance(double lat1, double lng1, double lat2, double lng2) {
double radLat1 = rad(lat1);
double radLat2 = rad(lat2);
double a = radLat1 - radLat2;
double b = rad(lng1) - rad(lng2);
double s = 2 * Math.asin(Math.sqrt(
Math.pow(Math.sin(a / 2), 2) + Math.cos(radLat1) * Math.cos(radLat2) * Math.pow(Math.sin(b / 2), 2)));
s = s * EARTH_RADIUS;
s = (s * 10000) / 10;
return s;
}
public static void main(String[] args) {
System.out.println("距离差" + GetDistance(30.535275, 114.352175,30.5352806, 114.3521917) + "米");
}
}

=2*6378.137*ASIN(SQRT(POWER(SIN((F2*PI()/180-H2*PI()/180)/2),2)+COS(F2*PI()/180)*COS(H2*PI()/180)*POWER(SIN((G2*PI()/180-I2*PI()/180)/2),2)))*100000
上述适合百公里以内,几百公里的时候两者误差量级为几米,在计算1000公里级别是误差能到达几十米。
要真正精准计算,必须考虑地球椭球体。建议采用椭球体算法,比较著名的算法有Vincenty方案算法,参考:Vincenty solutions of geodesics on the ellipsoid
发布者:全栈程序员-站长,转载请注明出处:https://javaforall.net/190114.html原文链接:https://javaforall.net
