大家好,又见面了,我是你们的朋友全栈君。如果您正在找激活码,请点击查看最新教程,关注关注公众号 “全栈程序员社区” 获取激活教程,可能之前旧版本教程已经失效.最新Idea2022.1教程亲测有效,一键激活。
Jetbrains全系列IDE使用 1年只要46元 售后保障 童叟无欺
笔试特别喜欢考这种题。先说一下思路。
- 首先,需要明白前序、中序、后序遍历:
①前序:根→左→右
②中序:左→根→右
③后序:左→右→根 - 仅明白这个是不行的,还需要技巧。对于标题中的问题,
我们很容易根据前序遍历判断根节点是A,再根据中序遍历知道A的右节点是B,A的左边有CDFEGH,如下图:
- 然后,将问题进行分解。去掉了AB结点之后,问题可分解如下:

按照同样的套路,我们可以画出子问题的树的大概结构,如下图:

与第一步画出的图进行组合,可以得到下图:

- 然后又对问题进行分解,再删除CD,问题可分解如下:

相信你可以画出下面的结构:

与上面的树进行组合,可得到下图:

再将问题进行分解,删掉EF,问题可变成:

由先序遍历可知G是子问题的根结点,由中序遍历可知H是右结点,故可画出下图:

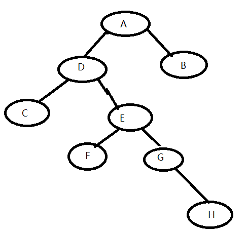
再与上面的树进行结合,可得出最后的结果,如下:

因为结果的图已经画出来了,所以后序遍历是:CFHGEDBA
总结
- 二叉树的遍历可用递归去解决,相信在画出树的结构之后,你能写出前、中、后序遍历,前提要了解递归是怎么进行的。
- 一旦知道了某个结点的位置,就删除它,将剩下的结点用同样的套路去解。
- 由前序遍历可判断根结点,再由中序遍历可判断“左后代”、“右后代”,也就是左边、右边都有哪些结点。
发布者:全栈程序员-站长,转载请注明出处:https://javaforall.net/197779.html原文链接:https://javaforall.net
