近一段时间一直在看推荐系统相关的内容,看到协同过滤的时候,有的大佬将协同过滤分成了三种情况(当然实际情况也许不止三种)来考虑并做了相互之间的比较,其中有一种就是基于SVD的协同过滤。当时看到这个是一脸的懵,就赶紧查了一下相关的资料恶补一下,记录在这。
SVD定义:
首先,我们来看一下什么是SVD,奇异值分解(Singular Value Decomposition,以下简称SVD)是在机器学习领域广泛应用的算法,它不光可以用于降维算法中的特征分解,还可以用于推荐系统,以及自然语言处理等领域。是很多机器学习算法的基石。当然我们在主成成份分析中也会遇到。太多的概念我也不是很了解,现在深挖只会让自己更加痛苦,所以今天只研究SVD。
基础铺垫:
了解这个之前我们先来预热一下,因为SVD原理需要用到大学的线性代数的知识(现在想想后悔当初没有好好学啊),我们需要用到特征值和特征向量的知识点来诠释,所以先来回顾一下这两个概念。
我们首先回顾下特征值和特征向量的定义如下:

=

其中A是一个n×n的实对称矩阵,
是一个n维向量,则我们说λ是矩阵A的一个特征值,而
是矩阵A的特征值λ所对应的特征向量。
求出特征值和特征向量有什么好处呢? 就是我们可以将矩阵A特征分解。如果我们求出了矩阵A的n个特征值λ
≤λ
≤…≤λ
,以及这n个特征值所对应的特征向量{w
,w
,…w
},如果这n个特征向量线性无关,那么矩阵A就可以用下式的特征分解表示:
A=
其中W是这n个特征向量所张成的n×n维矩阵,而Σ为这n个特征值为主对角线的n×n维矩阵。
一般我们会把W的这n个特征向量标准化,即满足||w
||
=1, 或者说
,此时W的n个特征向量为标准正交基,满足
, 也就是说W为酉矩阵。
这样我们的特征分解表达式可以写成

注意到要进行特征分解,矩阵A必须为方阵。那么如果A不是方阵,即行和列不相同时,我们还可以对矩阵进行分解吗?答案是可以,此时我们的SVD登场了。
SVD也是对矩阵进行分解,但是和特征分解不同,SVD并不要求要分解的矩阵为方阵。假设我们的矩阵A是一个m×nm×n的矩阵,那么我们定义矩阵A的SVD为:

其中U是一个m×m的矩阵,Σ是一个m×n的矩阵,除了主对角线上的元素以外全为0,主对角线上的每个元素都称为奇异值,V是一个n×n的矩阵。U和V都是酉矩阵,即满足
下图可以很形象的看出上面SVD的定义:

那么我们如何求出SVD分解后的U,Σ,V这三个矩阵呢?
如果我们将A的转置和A做矩阵乘法,那么会得到n×n的一个方阵
。既然
是方阵,那么我们就可以进行特征分解,得到的特征值和特征向量满足下式:

这样我们就可以得到矩阵
的n个特征值和对应的n个特征向量vv了。将
的所有特征向量张成一个n×n的矩阵V,就是我们SVD公式里面的V矩阵了。一般我们将V中的每个特征向量叫做A的右奇异向量.
如果我们将A和A的转置做矩阵乘法,那么会得到m×m的一个方阵
。既然
是方阵,那么我们就可以进行特征分解,得到的特征值和特征向量满足下式:

这样我们就可以得到矩阵
的m个特征值和对应的m个特征向量u了。将
的所有特征向量张成一个m×m的矩阵U,就是我们SVD公式里面的U矩阵了。一般我们将U中的每个特征向量叫做A的左奇异向量。
U和V我们都求出来了,现在就剩下奇异值矩阵Σ没有求出了。由于Σ除了对角线上是奇异值其他位置都是0,那我们只需要求出每个奇异值σ就可以了。
我们注意到:

这样我们可以求出我们的每个奇异值,进而求出奇异值矩阵ΣΣ。
上面还有一个问题没有讲,就是我们说
的特征向量组成的就是我们SVD中的V矩阵,而
的特征向量组成的就是我们SVD中的U矩阵,这有什么根据吗?这个其实很容易证明,我们以V矩阵的证明为例。

上式证明使用了:
。可以看出
的特征向量组成的的确就是我们SVD中的V矩阵。类似的方法可以得到
的特征向量组成的就是我们SVD中的U矩阵。
进一步我们还可以看出我们的特征值矩阵等于奇异值矩阵的平方,也就是说特征值和奇异值满足如下关系:

这样也就是说,我们可以不用
来计算奇异值,也可以通过求出
的特征值取平方根来求奇异值。
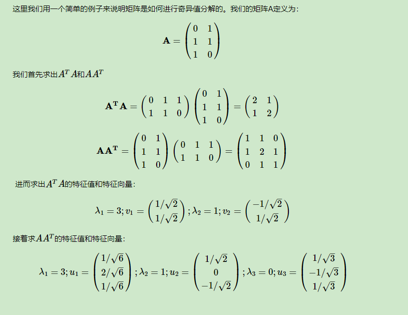
SVD实例计算:


SVD的一些性质:
我们可能会有疑问,既然这么麻烦,那为什么要用到这个呢?,接下来就看一下SVD到底有哪些优势。
对于奇异值,它跟我们特征分解中的特征值类似,在奇异值矩阵中也是按照从大到小排列,而且奇异值的减少特别的快,在很多情况下,前10%甚至1%的奇异值的和就占了全部的奇异值之和的99%以上的比例。也就是说,我们也可以用最大的k个的奇异值和对应的左右奇异向量来近似描述矩阵。也就是说:

其中k要比n小很多,也就是一个大的矩阵A可以用三个小的矩阵
来表示。如下图所示,现在我们的矩阵A只需要灰色的部分的三个小矩阵就可以近似描述了。

由于这个重要的性质,SVD可以用于PCA降维,来做数据压缩和去噪。也可以用于推荐算法,将用户和喜好对应的矩阵做特征分解,进而得到隐含的用户需求来做推荐。
发布者:全栈程序员-站长,转载请注明出处:https://javaforall.net/232352.html原文链接:https://javaforall.net
