9月1日,腾讯混元宣布将旗下刚刚获得国际翻译比赛冠军的模型开源,供开发者免费下载部署。这一模型命名为Hunyuan-MT-7B,总参数量仅7B,支持33个语种、5种民汉语言/方言互译,是一个能力全面的轻量级翻译模型。

同时开源的还有一个翻译集成模型 Hunyuan-MT-Chimera-7B (奇美拉),是业界首个翻译集成模型,它能够根据原文和多个翻译模型给出的不同内容,再生成一个更优的翻译结果,不仅原生支持Hunyuan-MT-7B,也支持接入 等模型,对于一些有专业翻译需求的用户和场景,可以提供更加准确的回复。
翻译集成模型的优势在于可以综合多个模型的结果,给出更加符合需求的翻译结果
在8月底结束的国际计算语言学协会(ACL)WMT2025比赛中,腾讯混元Hunyuan-MT-7B(Shy-hunyuan-MT)拿下了全部 31个语种比赛中的30个第1名,处于绝对领先地位,这 31个语种除了中文、英语、日语等常见语种,也包含捷克语、马拉地语、爱沙尼亚语、冰岛语等小语种。
在WMT2025官方提供的成绩报告中,腾讯混元“shy-hunyuan-MT”即Hunyuan-MT-7B模型拿下了全部31个语种比赛中30个第1名,以上是英语-简体中文翻译的得分情况。
WMT25竞赛对参赛模型的参数规模有明确限制,要求系统满足开源要求,并且只能使用公开数据进行训练,在这样的环境下,Hunyuan-MT-7B击败了众多参数更大的模型。
同尺寸模型下,Hunyuan-MT-7B效果领先于业界顶尖模型
元宝 混元 Hunyuan 教程
Hunyuan-MT-7B效果与超大尺寸模型效果对比也不逊色
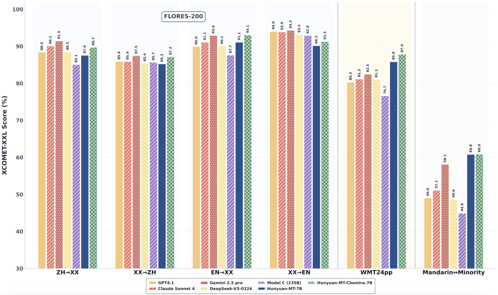
在业界常用的翻译能力测评数据集 Flores200上,腾讯混元Hunyuan-MT-7B模型也有卓越的效果表现,明显领先于同尺寸模型,与超大尺寸模型效果对比也不逊色。
取得全面领先的成绩,离不开技术上的全面突破,针对翻译场景,腾讯混元提出了一个完整的翻译模型训练范式,覆盖从预训练、到CPT再到监督调参、翻译强化和集成强化全链条,使得模型的翻译效果达到业界最优。

Hunyuan-MT-7B的特点在于仅用少量的参数,就达到甚至超过了更大规模模型的效果,这也为模型的应用带来了众多优势。
首先是计算效率,7B模型的推理速度明显快于大型模型,在相同硬件条件下能够处理更多的翻译请求,并且,基于腾讯自研的AngelSlim大模型压缩工具对Hunyuan-MT-7B进行FP8量化压缩,推理性能进一步提升30%。其次是部署友好性,Hunyuan-MT-7B能够在更多样化的硬件环境中部署,从高端服务器到边缘设备都能良好运行,并且模型的部署成本、运行成本和维护成本都相对更低,在保证翻译质量的前提下,为企业和开发者提供了更具吸引力的解决方案。
相比传统的机器翻译,基于大模型的翻译对于对话背景、上下文内容以及综合的翻译需求有更深度的了解,进而能够提供更加准确和“信达雅”的翻译,这也为翻译模型的落地应用打下了基础。目前,腾讯混元翻译模型已经接入腾讯多个业务,包括腾讯会议、企业微信、浏览器、翻译君翻译、腾讯海外客服翻译等,助力产品体验提升。
自2023年亮相以来,腾讯混元积极拥抱开源,通过开放自研技术,推动大模型技术的共享和突破,在推出翻译模型之前,已经陆续开源了业界领先的文生文、文生图、视频生成和3D生成能力和相关工具集插件,提供商业模型性能的模型服务,相关模型多次登顶开源社区热度榜榜首。未来,腾讯混元还将开放更多模型和技术,和社区携手,共建开放大模型生态。
Hunyuan-MT-7B 模型已在腾讯混元官网上线体验入口,并在Huggingface和Github等开源社区提供下载,对应的技术报告和论文也已经在开源社区公开,欢迎体验和下载。
发布者:全栈程序员-站长,转载请注明出处:https://javaforall.net/257373.html原文链接:https://javaforall.net
