NDT算法原理
算法提出原文:The Normal Distributions Transform: A New Approach to Laser Scan Matching(From IEEE)
参考:https://www.cnblogs.com/21207-iHome/p/8039741.html
NDT是基于栅格化地图的算法,主要算法思路:基于2D场景
将参考帧点云地图分为一个个小块(cell),计算下一时刻的目标帧得到的点云,变换到参考坐标,落到对应参考帧的cell中的概率。就是同一个环境点,不同时刻检测结果,变换到同一坐标,落在同一个cell。通过这种关系得到评分指标,最优化得到R,t。
详细步骤:
- 将参考点云(reference scan)所占的空间划分成指定大小(CellSize)的网格或体素(Voxel);并计算每个网格的多维正态分布参数:
- 计算网格的概率分布模型:
- 变换要配准的点云(second/Target scan)到参考(reference)坐标系下(参考点云的坐标系,通常是前一帧)。

- 根据正态分布参数计算每个转换点落在对应cell中的概率

- NDT配准得分(score):计算对应点落在对应网格cell中的概率之和

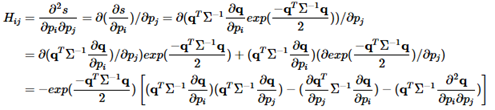
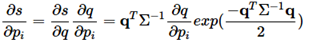
- 根据牛顿优化算法对目标函数 − s c o r e −score −score进行优化,即寻找变换参数 p p p使得 s c o r e score score的值最大。优化的关键步骤是要计算目标函数的梯度和Hessian矩阵:
令 q = x ′ i − q i q=x′_i−q_i q=x′i−qi,则:

根据链式求导法则以及向量、矩阵求导的公式,s梯度方向为:

其中q对变换参数 p i p_i pi的偏导数 ∂ q ∂ p i \frac{\partial q}{
{\partial p}_i} ∂pi∂q即为变换T的雅克比矩阵:

根据上面梯度的计算结果,继续求 s s s关于变量 p i p_i pi、 p j p_j pj的二阶偏导:

根据变换方程,向量 q q q对变换参数 p p p的二阶导数的向量为:

- 跳转到第3步继续执行,直到达到收敛条件为止
发布者:全栈程序员-站长,转载请注明出处:https://javaforall.net/233924.html原文链接:https://javaforall.net
